岳陽凱門水性助劑有限公司成立于2010年10月,位于湖南岳陽綠色化工高新技術產業園,是一家專業從事環保型添加劑研發、生產、銷售的國家級“專精特新”小巨人及國家級高新技術企業,是上市公司蘇州世名科技股份有限公司(股票代碼:300522)旗下子公司,目前公司主營產品有炔二醇表面活性劑,基材潤濕劑,流平劑,分散劑,消泡劑及SMA樹脂等,主要應用市場包括汽車涂料,集裝箱涂料,木器涂料,光伏硅晶切割液,農化和鋰電等。


COMPANY INTRODUCTION
◆助劑母體年產能8000噸;
◆DSC智能化生產;
◆配備各種生產設備100多臺(套),其中反應設備80余臺,涵蓋中試到產業化整個過程。
SMA產線技術改造
為滿足市場需求,解決因設備受限造成的產能不足,同時提升產品性能,以適應不同應用領域、配方體系需求。岳陽凱門在2024上半年對SMA產線設備進行技術升級改造。此次技改后樹脂產能最高可達4500t/年,并能夠滿足對SMA基礎樹脂進行酯化、酰胺化和酰亞胺化等不同改性要求,讓SMA樹脂的特性發揮更加充分。未來,公司會進一步通過設備優化與可控聚合工藝等手段對SMA樹脂產品進行不同分子量大小精準控制和產品結構優化來進一步深挖產品應用特性以滿足下游客戶不同需求。


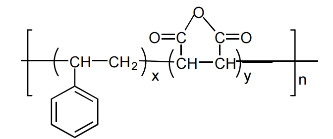
SMA平臺介紹
SMA樹脂是由苯乙烯(Styrene)同馬來酸酐(Maleic Anhydride)共聚而成的一類高性能聚合物。


市面上常見的苯乙烯馬來酸酐樹脂一般分為兩類,一類為嵌段共聚的SMA樹脂,其苯乙烯同馬來酸酐比例固定,在市場上占有量較少。另一類為無規共聚的SMA樹脂,其苯乙烯與馬來酸酐的比例可在較寬范圍內進行調整,同時產品分子量也可根據性能需求進行調控,該類樹脂產品在市面上占據了主流地位。岳陽凱門助劑目前主要生產的無規共聚型SMA樹脂,通過SMA技術平臺可以開發出多種衍生產品以滿足客戶不同應用要求。
岳陽凱門SER系列-SMA樹脂

SMA樹脂應用推薦


分享好友


